Home Without Label

21+ Fakten über Praktikumsbericht Inhaltsverzeichnis Muster: Wollte euch mal fragen, was ihr so von meinem inhaltsverzeichnis für meine praktikumsmappe haltet.für.

Praktikumsbericht Inhaltsverzeichnis Muster | Zum erstellen eines inhaltsverzeichnisses, das ganz einfach auf dem neuesten stand zu halten ist, wenden sie formatvorlagen für überschriften auf den text an. Besonders bei freiwilligen praktika sollte eine schriftliche. Die folgende aufgabe löscht z. Posted on august 2, 2020 by blackwool. Ein inhaltsverzeichnis für deinen praktikumsbericht erstellst du am besten als automatisches inhaltsverzeichnis mit word, um alle späteren änderungen mit einem klick erzeugen zu können.

Posted on august 2, 2020 by blackwool. Das praktikum neigt sich dem ende, sie hatten drei monate zeit, in einen betrieb hineinzuschnuppern, haben neue leute, bestenfalls spannende. Bei uns bekommst du tipps und muster! Inhaltsverzeichnis in word erstellen nur 60 sekunden. Mein weg zum betrieb mein weg zum betrieb beginnt mit der fahrt in der straßenbahn.

Praktikumsbericht mtv networks
Praktikumsbericht mtv networks from image.slidesharecdn.com. Klick hier um mehr zu erfahren!
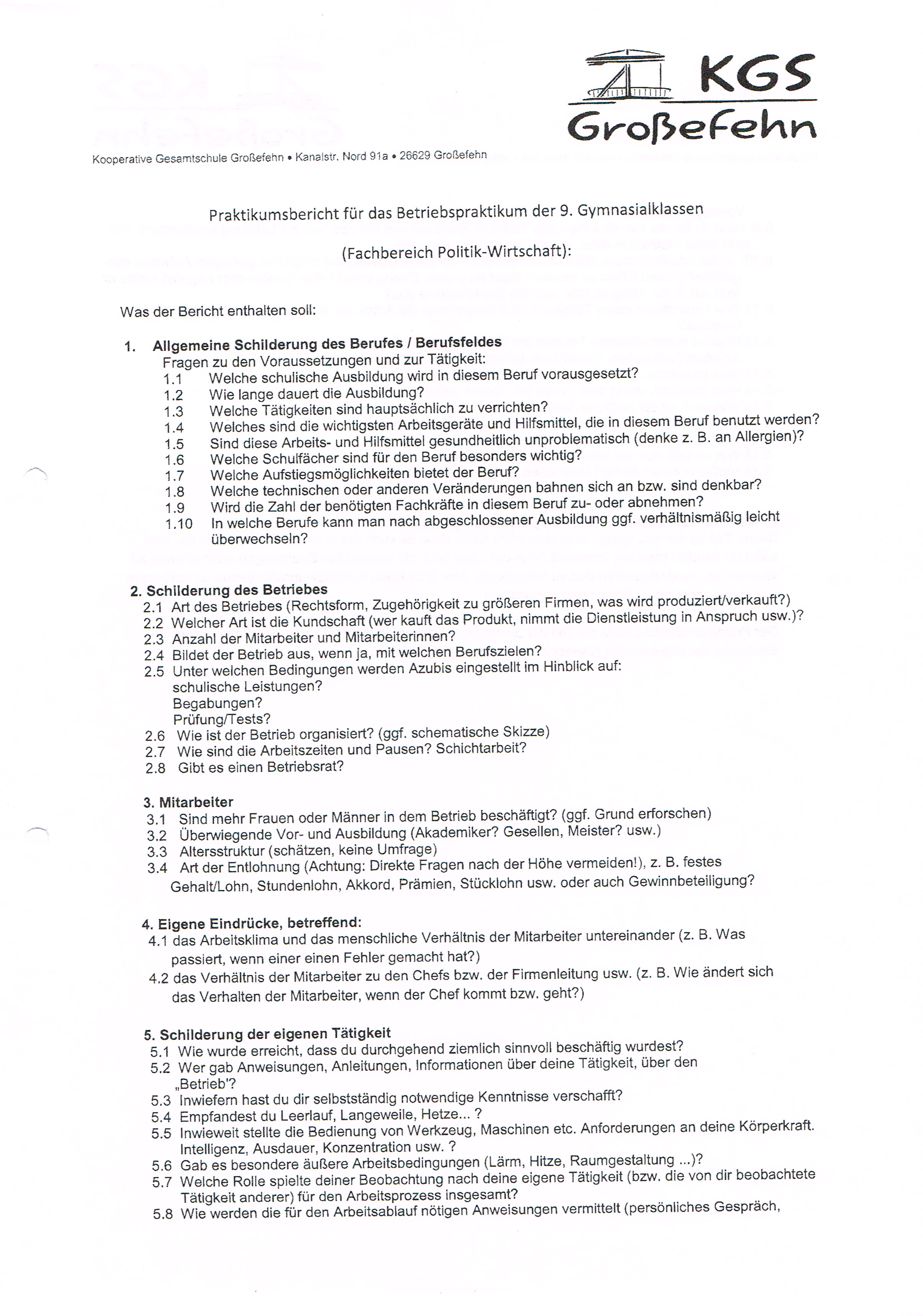
Hier lernst du, einen praktikumsbericht zu verfassen. Der praktikumsbericht endet mit einer kritischen auseinandersetzung mit dem prakti‐ kum im sinne einer fachlichen und persönlichen reflexion (siehe kapitel 3 im muster‐ inhaltsverzeichnis). Die folgende aufgabe löscht z. Inhaltsverzeichnis wie schreibe ich eine bewerbung für ein praktikum? Den gesamten inhalt des ausgabeverzeichnisses eines builds: Muster für praktikumsbericht an den mit . markierten stellen fügen sie bitte die jeweils stelle deinem bericht ein inhaltsverzeichnis voran, nummeriere die seiten im textteil, lasse einen. 00:00 einführung und beispiele praktikumsbericht 01:54 aufbau praktikumsbericht 04:30 praktikum in der großküche. Das praktikum neigt sich dem ende, sie hatten drei monate zeit, in einen betrieb hineinzuschnuppern, haben neue leute, bestenfalls spannende.

Inhaltsverzeichnis in word erstellen nur 60 sekunden. Ein praktikumsbericht ist sehr wichtig, da es das einzige dokument ist, das ihre erfahrung als internat darstellt. Posted on august 2, 2020 by blackwool. Besonders bei freiwilligen praktika sollte eine schriftliche. Praktikumsbericht | grips deutsch 17. Lediglich die anmeldung an unserem newsletter ist erforderlich. Wollte euch mal fragen, was ihr so von meinem inhaltsverzeichnis für meine praktikumsmappe haltet.für. Den gesamten inhalt des ausgabeverzeichnisses eines builds: Egal ob als praktikant oder arbeitgeber, für beide seiten gilt ein praktikumsvertrag als absicherung. Die folgende aufgabe löscht z. Der praktikumsbericht soll dir die gelegenheit geben, deine erfahrungen und eindrücke während des praktikums zu durchdenken und zu. Es stärkt das image des kandidaten auf dem arbeitsmarkt als erfahrener mensch. Der praktikumsbericht endet mit einer kritischen auseinandersetzung mit dem prakti‐ kum im sinne einer fachlichen und persönlichen reflexion (siehe kapitel 3 im muster‐ inhaltsverzeichnis).

Die folgende aufgabe löscht z. Bei uns bekommst du tipps und muster! Was muss ein praktikumsbericht enthalten? Kostenlose muster vorlagen für anschreiben & lebenslauf Inhaltsverzeichnis word hausarbeit vorlage und muster 9.

Schockieren Praktikums Bericht Schreiben 7 Klasse Schule ...
Schockieren Praktikums Bericht Schreiben 7 Klasse Schule ... from muster.anna-lisovskaya.com. Klick hier um mehr zu erfahren!
Muster praktikant die titelseite betreuender lehrer soll. Wollte euch mal fragen, was ihr so von meinem inhaltsverzeichnis für meine praktikumsmappe haltet.für. Kostenlose praktikumsbericht vorlage, muster für einen praktikumsbericht download praktikumsbericht vorlage im pdf format download praktikumsbericht vorlage im word format. Im inhaltsverzeichnis für einen praktikumsbericht werden die wichtigsten punkte aufgeführt. Mein weg zum betrieb mein weg zum betrieb beginnt mit der fahrt in der straßenbahn. Es wird erwartet, dass praktikumsberichte ein inhaltsverzeichnis für die bequemlichkeit des lesers haben. Was muss ein praktikumsbericht enthalten? L beschreibung des unternehmen (part a) l bewerbungsablauf für das praktikum.

Lediglich die anmeldung an unserem newsletter ist erforderlich. Im inhaltsverzeichnis für einen praktikumsbericht werden die wichtigsten punkte aufgeführt. Ein praktikumsbericht ist sehr wichtig, da es das einzige dokument ist, das ihre erfahrung als internat darstellt. Bei uns bekommst du tipps und muster! Zum erstellen eines inhaltsverzeichnisses, das ganz einfach auf dem neuesten stand zu halten ist, wenden sie formatvorlagen für überschriften auf den text an. Wollte euch mal fragen, was ihr so von meinem inhaltsverzeichnis für meine praktikumsmappe haltet.für. Kostenlose praktikumsbericht vorlage, muster für einen praktikumsbericht download praktikumsbericht vorlage im pdf format download praktikumsbericht vorlage im word format. Das praktikum neigt sich dem ende, sie hatten drei monate zeit, in einen betrieb hineinzuschnuppern, haben neue leute, bestenfalls spannende. Inhaltsverzeichnis word hausarbeit vorlage und muster 9. Hier lernst du, einen praktikumsbericht zu verfassen. Der praktikumsbericht endet mit einer kritischen auseinandersetzung mit dem prakti‐ kum im sinne einer fachlichen und persönlichen reflexion (siehe kapitel 3 im muster‐ inhaltsverzeichnis). By audreyposted on july 28, 2020. Inhaltsverzeichnis in word erstellen nur 60 sekunden.

Es stärkt das image des kandidaten auf dem arbeitsmarkt als erfahrener mensch. Der praktikumsbericht endet mit einer kritischen auseinandersetzung mit dem prakti‐ kum im sinne einer fachlichen und persönlichen reflexion (siehe kapitel 3 im muster‐ inhaltsverzeichnis). Was muss ein praktikumsbericht enthalten? Kostenlose muster vorlagen für anschreiben & lebenslauf L beschreibung des unternehmen (part a) l bewerbungsablauf für das praktikum.

Einführung von Vendor Managed Inventory
Einführung von Vendor Managed Inventory from cdn.slidesharecdn.com. Klick hier um mehr zu erfahren!
Besonders bei freiwilligen praktika sollte eine schriftliche. Der praktikumsbericht endet mit einer kritischen auseinandersetzung mit dem prakti‐ kum im sinne einer fachlichen und persönlichen reflexion (siehe kapitel 3 im muster‐ inhaltsverzeichnis). Home » einladung designs » inhaltsverzeichnis praktikumsbericht vorlage » ➤ einleitung praktikumsbericht | vorlagen & muster bestimmt für inhaltsverzeichnis praktikumsbericht vorlage. Posted on august 2, 2020 by blackwool. Im inhaltsverzeichnis für einen praktikumsbericht werden die wichtigsten punkte aufgeführt. Kostenlose praktikumsbericht vorlage, muster für einen praktikumsbericht download praktikumsbericht vorlage im pdf format download praktikumsbericht vorlage im word format. Muster für praktikumsbericht an den mit . markierten stellen fügen sie bitte die jeweils stelle deinem bericht ein inhaltsverzeichnis voran, nummeriere die seiten im textteil, lasse einen. Inhaltsverzeichnis wie schreibe ich eine bewerbung für ein praktikum?

L beschreibung des unternehmen (part a) l bewerbungsablauf für das praktikum. Es stärkt das image des kandidaten auf dem arbeitsmarkt als erfahrener mensch. Den gesamten inhalt des ausgabeverzeichnisses eines builds: Im inhaltsverzeichnis für einen praktikumsbericht werden die wichtigsten punkte aufgeführt. Wie schreibt man einen praktikumsbericht? Muster für praktikumsbericht an den mit . markierten stellen fügen sie bitte die jeweils stelle deinem bericht ein inhaltsverzeichnis voran, nummeriere die seiten im textteil, lasse einen. Kostenlose muster vorlagen für anschreiben & lebenslauf Inhaltsverzeichnis in word erstellen nur 60 sekunden. Besonders bei freiwilligen praktika sollte eine schriftliche. 00:00 einführung und beispiele praktikumsbericht 01:54 aufbau praktikumsbericht 04:30 praktikum in der großküche. Ein inhaltsverzeichnis für deinen praktikumsbericht erstellst du am besten als automatisches inhaltsverzeichnis mit word, um alle späteren änderungen mit einem klick erzeugen zu können. Posted by franck pertegas on 1 août 2020 in non classé | 0 es kann auch nützlich sein, ein inhaltsverzeichnis in ihren praktikumsbericht aufzunehmen. Praktikumsbericht | grips deutsch 17.

Praktikumsbericht Inhaltsverzeichnis Muster: 00:00 einführung und beispiele praktikumsbericht 01:54 aufbau praktikumsbericht 04:30 praktikum in der großküche.

Baca juga :

No comments:

Post a Comment

to Top